Dipl.-Ing.
Markus Maletz
Europaingenieur
\terms
Anmerkungen zur Ringsteifigkeit I
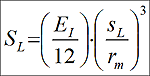
Die vielleicht aus dem GfK-Rohrleitungsbau bekannte Ringsteifigkeit ist ein nützliches Werkzeug, um die verschiedenen Linerprodukte (Kreisprofile), die sich auf dem Markt befinden, zu vergleichen.
![]() |
mit: EI = Langzeit E-Modul sL = Wanddicke Liner rm = mittlerer Radius |
Ebenso kann die Ringsteifigkeit dazu verwendet werden, gleichwertige Inliner-Produkte zu fordern und auszuwählen (statisch). Die Erfahrungen in diesem Bereich haben jedoch gezeigt, dass vielerorts die Ringsteifigkeit – mangels genauer Kenntnis – wesentlich zu hoch angesetzt wurde, was zu sehr „dicken“ Inlinern geführt hat. Die Sicherheiten bei diesen Sanierungsmaßnahmen lagen allesamt in einem Bereich von γ = 3-4, wodurch sich die einzelnen Projekte sehr verteuert haben.
In Süddeutschland haben sich im März 2003 mehrere Kommunen zu einer Arbeitsgruppe (AG Süd) zusammengeschlossen, um ein einheitliches Anforderungsprofil für Kanalrenovierungen zu erstellen. Ziele dieser Arbeitsgruppe sind:
- Vereinheitlichung von Standards bei der Inlinersanierung von Kanälen
- Schaffung von verlässlichen Grundlagen für Ausschreibung, Vergabe und Baudurch-führung von Inlinersanierungen
- Erarbeitung von Formularen, Vertragsbedingungen und Handreichungen für Ausschreibung, Vergabe und Baudurchführung von Inlinersanierungen
Dieses Anforderungsprofil ist Mitte bis Ende 2005 in Zusammenarbeit mit dem RSV überarbeitet worden und stand nun seit Oktober 2005 in einer neuen Version zur Verfügung.
Mit Einführung des neuen Merkblattes M 144, Teil 3 der DWA ist das Anforderungsprofil zurückgezogen worden.
Inhalte
Berechnungshilfen
-
Ringsteifigkeiten
...aus Wanddicken
...und umgekehrt -
Bemessungstabellen
Synthesefaserliner SF
Glasfaserliner GF
MKG | DWA M 144, Teil 3 -
Nachweise/Download
LF Innendruck
LF Eigenlasten
LF Druckspg. i.d. Gelenken
LF Temperatur

